Выберите язык

Наука

Настоящая наука не имеет ничего общего с обслуживанием «денежных мешков» и военно-промышленного комплекса паразитов, чем занят сегодня практически весь сегодняшний «учёный мир». Настоящая наука должна заниматься Познанием, изучением реальных законов природы, а не приспособлением мелких, разрозненных осколков знаний к потребностям разных выскочек, нуворишей и спекулянтов
Featured

Лунные аномалии или фальшивая физика?

Лунные аномалии или фальшивая физика?Загадка о причинах поддержки мифа о покорении Луны продолжает оставаться загадкой, пока она будет рассматривается в отрыве от общего контекста управления развитием науки на Земле. Этот комплекс мероприятий особенно ярко проявил себя, начиная с конца ХIХ века.

Все естественные науки, в первую очередь физика, химия, геология и астрономия, подверглись таким процедурам догматизации, выхолащивания сути и доведения до абсурда, что теперь любой корректно поставленный эксперимент всегда показывает расхождение с официальными теориями. С целью сохранения статус-кво господствующих теорий после каждого такого результата задействуется целый комплекс мероприятий по подгонке публикаций, противодействию распространения информации, замалчиванию или критике – в зависимости от ситуации; или, в крайнем случае, приходится оперативно затыкать рот особо удачливым естествоиспытателям.

Наиболее эффективным способом сокрытия фактов несоответствия современных научных теорий и реальной действительности является полная коммерциализация науки, когда некий эксперимент можно поставить только на деньги власть имущих, совершенно явно выполняющих роль соглядатаев над наукой. В результате большая часть современных учёных превращена в тупых «грантоедов», всю жизнь выполняющих заказы денежных мешков. Гротескность результатов такой «науки» подчас вызывает улыбку даже у закалённого на рекламном калейдоскопе среднестатистического обывателя.

Наглядные противоречия, которые получаются в результате силового навязывания ложной аксиоматики, облекаются в формат непогрешимых истин, притом недоступных адекватному уму. В первую очередь это касается т.н. «теории относительности», сторонников которой можно условно разделить на два лагеря – платные провокаторы и конформисты.

И даже в казалось бы давно устоявшихся теориях имеются вопиющие противоречия и очевидные ошибки, которые просто замалчиваются. Приведу простой пример.

Официальная физика, которую преподают в учебных заведениях, очень гордится тем, что ей известны соотношения между разными физическими величинами в виде формул, которые якобы надёжно подкреплены экспериментально. На том, как говорится, и стоим…

 

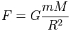
В частности, во всех справочниках и учебниках утверждается, что между двумя телами, имеющими массы (m) и (M), возникает сила притяжения (F), которая прямо пропорциональна произведению этих масс и обратно пропорциональна квадрату расстояния (R) между ними. Это соотношение обычно представляют в виде формулы «закона всемирного тяготения»:

Лунные аномалии или фальшивая физика?,

где   — гравитационная постоянная, равная примерно 6,6725×10−11 м³/(кг·с²).

Давайте с помощью этой формулы подсчитаем, какова сила притяжения между Землей и Луной, а также между Луной и Солнцем. Для этого нам нужно подставить в эту формулу соответствующие значения из справочников:

масса Луны – 7,3477×1022 кг
масса Солнца – 1,9891×1030 кг
масса Земли – 5,9737×1024 кг

расстояние между Землей и Луной = 380 000 000 м
расстояние между Луной и Солнцем = 149 000 000 000 м

Сила притяжения между Землей и Луной = 6,6725×10-11 х 7,3477×1022 х 5,9737×1024 / 3800000002 = 2,028×1020 H

Сила притяжения между Луной и Солнцем = 6,6725×10-11х 7,3477·1022 х 1,9891·1030 / 1490000000002 = 4,39×1020H

Получается, что сила притяжения Луны к Солнцу более чем вдвое (!) больше, чем сила притяжения Луны к Земле! Почему же тогда Луна летает вокруг Земли, а не вокруг Солнца? Где же здесь согласие теории с экспериментальными данными?

Если не верите своим глазам, пожалуйста, возьмите калькулятор, откройте справочники и убедитесь сами.

Согласно формуле «всемирного тяготения» для данной системы из трёх тел, как только Луна окажется между Землей и Солнцем, она должна уйти с круговой орбиты вокруг Земли, превратившись в самостоятельную планету с параметрами орбиты, близкими к земной. Однако, Луна упорно «не замечает» Солнце, как будто его не существует вообще.

В первую очередь, давайте зададимся вопросом о том, что может быть неправильным в этой формуле? Вариантов здесь немного.

С точки зрения математики, данная формула может быть правильной, но тогда неправильными являются значения её параметров. Например, современная наука может жестоко ошибаться в определении расстояний в космосе на основе ложных представлений о природе и скорости распространения света; или же неправильно оценивать массы небесных тел, пользуясь всё теми же чисто умозрительными заключениями Кеплера или Лапласа, выраженными в виде соотношений размеров орбит, скоростей и масс небесных тел; или же вообще не понимать природу массы макроскопического тела, о чём предельно откровенно повествуют все учебники физики, постулируя данное свойство материальных объектов вне зависимости от его расположения и не углубляясь в причины его возникновения.

Также официальная наука может ошибаться в причине существования и принципах действия силы тяготения, что наиболее вероятно. Например, если массы не обладают притягивающим действием (чему, кстати говоря, имеются тысячи наглядных доказательств, только они замалчиваются), тогда эта «формула всемирного тяготения» просто отображает некую идею, высказанную Исааком Ньютоном, которая на поверку оказалась ложной.

Ошибиться можно тысячами разных способов, а вот истина – одна. И её официальная физика сознательно скрывает, иначе как объяснить отстаивание такой вот абсурдной формулы?

Первым и очевидным следствием того, что «формула всемирного тяготения» не работает, является тот факт, что у Земли отсутствует динамическая реакция на Луну. Проще говоря, два таких больших и близких небесных тела, одно из которых по диаметру всего вчетверо меньше от другого, должны были бы (согласно воззрениям современной физики) вращаться вокруг общего центра масс – т.н. барицентра. Однако, Земля вращается строго вокруг своей оси, и даже приливы и отливы в морях и океанах не имеют к положению Луны на небосводе ровным счётом никакого отношения.

С Луной связан целый ряд совершенно вопиющих фактов несоответствий с устоявшимися воззрениями классической физики, которые в литературе и Интернете стыдливо называются «лунными аномалиями».

Самая очевидная аномалия – точнейшее совпадение периода обращения Луны вокруг Земли и вокруг своей оси, из-за чего она всегда обращена к Земле одной стороной. Существует множество причин, чтобы эти периоды всё больше рассинхронизировались на каждом витке Луны вокруг Земли. Например, никто не станет утверждать, что Земля и Луна являются двумя идеальными шарами с равномерным распределением массы внутри. С точки зрения официальной физики совершенно очевидно, что на движение Луны существенное влияние должны оказывать не только взаимное расположение Земли, Луны и Солнца, но даже пролёты Марса и Венеры в периоды максимального сближения их орбит с земной. Опыт космических полётов на околоземной орбите показывает, что достичь стабилизации по типу лунной можно только в том случае, если постоянно подруливать микродвигателями ориентации. Но чем и как подруливает Луна? И главное – для чего?

Эта «аномалия» выглядит ещё более обескураживающе на фоне того малоизвестного факта, что официальная наука до сих пор не выработала приемлемого объяснения траектории, по которой Луна движется вокруг Земли. Орбита Луны отнюдь не круговая и даже не эллиптическая. Странная кривая, которую Луна описывает над нашими головами, согласуется всего лишь с длинным списком статистических параметров, изложенных в соответствующих таблицах. Эти данные собраны на основе многолетних наблюдений, но отнюдь не на базе каких-либо расчётов. Именно благодаря этим данным можно предсказать те или иные события с большой точностью, например, солнечные или лунные затмения, максимальное приближение или удаление Луны относительно Земли и т.д.

Так вот, именно на этой странной траектории Луна ухитряется всё время быть развернутой к Земле только одной стороной!

Конечно же, это далеко не всё.

Оказывается, Земля двигается по орбите вокруг Солнца отнюдь не с равномерной скоростью, как хотелось бы официальной физике, а делает небольшие притормаживания и рывки вперёд по направлению своего движения, которые синхронизированы с соответствующим положением Луны. Однако, никаких движений в стороны, перпендикулярные к направлению своей орбиты, Земля не делает, несмотря на то, что Луна может находиться с любой стороны от Земли в плоскости своей орбиты.

Официальная физика не только не берётся описать или объяснить эти процессы – она о них просто умалчивает! Такой полумесячный цикл рывков земного шара отлично коррелирует со статистическими пиками землетрясений, но где и когда вы об этом слышали?

А знаете ли вы, что в системе космических тел Земля-Луна не существует никаких точек либрации, предсказанных Лагранжем на основе закона «всемирного тяготения»? Дело в том, что область тяготения Луны не превышает расстояния 10 000 км от её поверхности. Этому факту имеется множество очевиднейших подтверждений. Достаточно вспомнить о геостационарных спутниках, на которые положение Луны не влияет никак, или научно-сатирическую историю с зондом «Смарт-1» от ЕКА, с помощью которого собирались между делом сфотографировать места прилунения «Аполлонов» ещё в 2003-2005 годах. Зонд «Смарт-1» был создан как экспериментальный космический аппарат с двигателями на малой ионной тяге, но с огромным временем работы. Миссией ЕКА предусматривался постепенный разгон аппарата, выведенного на круговую орбиту вокруг Земли с тем, чтобы, двигаясь по спиралевидной траектории с набором высоты, достичь внутренней точки либрации системы Земля-Луна. Согласно предсказаниям официальной физики, начиная с этого момента, зонд должен был изменить свою траекторию, перейдя на высокую окололунную орбиту, и начать длительный манёвр торможения, постепенно сужая спираль вокруг Луны.

Но всё было бы хорошо, если бы официальная физика и расчёты, сделанные с её помощью, соответствовали реальности. В действительности после достижения точки либрации «Смарт-1» продолжал полёт по раскручивающейся спирали, и на следующих витках даже не думал реагировать на приближающуюся Луну. С этого момента вокруг полёта «Смарта-1» начался удивительный заговор молчания и откровенной дезинформации, пока траектория его полёта не позволила наконец просто разбить его о поверхность Луны, о чём официозные научно-популяризаторские Интернет-ресурсы поспешили сообщить под соответствующим информационным соусом как о великом достижении современной науки, которая вдруг решила «изменить» миссию аппарата и со всего маху хряснуть десятками миллионов потраченных на проект валютных денег о лунную пыль.

Естественно, на последнем витке своего полёта зонд «Смарт-1» вошел наконец в область тяготения Луны, однако он никак не смог бы сбросить скорость для выхода на низкую окололунную орбиту с помощью своего маломощного двигателя. Расчёты европейских баллистиков вошли в разительное противоречие с реальной действительностью.

И такие случаи при исследованиях дальнего космоса отнюдь не единичны, а повторяются с завидной постоянностью, начиная от первых проб попадания в Луну или отправки зондов к спутникам Марса, заканчивая последними попытками выйти на орбиты вокруг астероидов или комет, сила притяжения у которых полностью отсутствует даже на их поверхности.

Но тогда у читателя должен возникнуть совершенно закономерный вопрос: как же ракетно-космическая отрасль СССР в 60-х и 70-х годах ХХ века ухитрилась исследовать Луну с помощью автоматических аппаратов, пребывая в плену ложных научных воззрений? Как советские баллистики рассчитали правильную трассу полёта к Луне и обратно, если одна из самых базовых формул современной физики оказывается фикцией? Наконец, как в ХХI веке рассчитывают орбиты лунных спутников-автоматов, производящих близкое фотографирование и сканирование Луны?

Очень просто! Как и во всех других случаях, когда практика показывает расхождение с физическими теориями, в дело вступает его величество Опыт, который подсказывает правильное решение той или иной проблемы. После череды совершенно закономерных неудач эмпирическим образом баллистики нашли некие поправочные коэффициенты для тех или иных этапов полётов к Луне и другим космическим телам, которые вводят в бортовые компьютеры современных автоматических зондов и систем космической навигации.

И всё работает! Но главное, появляется возможность протрубить на весь мир об очередной победе мировой науки, и далее учить легковерных детей и студентов формуле «всемирного тяготения», которая к реальной действительности имеет отношение не большее, чем треуголка барона Мюнхгаузена к его эпическим подвигам.

И если вдруг некий изобретатель выступит с очередной идеей нового способа передвижения в космосе, нет ничего проще, чем объявить его шарлатаном на том простом основании, что его расчеты противоречат той же пресловутой формуле «всемирного тяготения»… Комиссии по борьбе с лженаукой при академиях наук разных стран работают, не покладая рук.

Это тюрьма, товарищи. Большая планетарная тюрьма с лёгким налётом наукообразности для нейтрализации особо ретивых особей, посмевших быть умными. Остальных достаточно женить, чтобы, следуя меткому замечанию Карела Чапека, у них автобиография закончилась…

Кстати, все параметры траекторий и орбит «пилотируемых полётов» от НАСА к Луне в 1969-1972 годах рассчитаны и опубликованы именно на основании допущений о существовании точек либрации и о выполнении закона всемирного тяготения для системы Земля-Луна. Разве только одно это не объясняет, почему все программы пилотируемого покорения Луны после 70-х годов ХХ века были свёрнуты? Что легче: тихо съехать с темы или признаваться в фальсификации всей физики?

Наконец, у Луны имеется целый ряд удивительных феноменов, называемых «оптическими аномалиями». Эти аномалии уже настолько не лезут ни в какие ворота официальной физики, что о них предпочитается полностью умалчивать, заменяя интерес к ним на якобы постоянно регистрируемую активность НЛО на поверхности Луны. С помощью выдумок жёлтой прессы, поддельных фото- и видеоматериалов о якобы постоянно перемещающихся над Луной летающих тарелках и громадных сооружениях инопланетян на её поверхности закулисные хозяева пытаются покрывать информационным шумом действительно фантастическую реальность Луны, о которой обязательно следует упомянуть в этой работе.

Самая очевидная и наглядная оптическая аномалия Луны видна всем землянам невооруженным взглядом, поэтому остаётся только удивляться тому, что практически никто на это не обращает внимания. Посмотрите, как выглядит Луна в чистом ночном небе в моменты полнолуния? Она выглядит, как плоское круглое тело (например, монета), но не как шар!

Шарообразное тело с довольно существенными неровностями на своей поверхности в случае его освещения источником света, находящегося сзади от наблюдателя, должно в наибольшей степени отсвечивать ближе к своему центру, а по мере приближения к краю шара светимость должна плавно уменьшаться. Об этом вопиет наверное самый известный закон оптики, который звучит так: «Угол падения луча равен углу его отражения». Но на Луну это правило отнюдь не распространяется. В силу непонятных для официальной физики причин лучи света, попадающие в край лунного шара, отражаются… назад к Солнцу, отчего мы видим Луну в полнолуние как некую монету, но не как шар.

Ещё большую сумятицу в умы вносит не менее очевидная наблюдаемая вещь – постоянное значение уровня светимости освещённых участков Луны для наблюдателя с Земли. Проще говоря, если предположить, что у Луны имеется некое свойство направленного рассеяния света, то приходится признать, что отражение света меняет свой угол в зависимости от положения системы Солнце-Земля-Луна. Никто не сможет оспорить тот факт, что даже узкий серп молодой Луны даёт светимость точно такую же, как и соответствующий ему по площади центральный участок половинной Луны. А это означает, что Луна каким-то образом управляет углом отражения солнечных лучей, чтобы они всегда отражались от её поверхности именно к Земле!

Но когда наступает полнолуние, светимость Луны скачкообразно увеличивается. Это означает, что поверхность Луны удивительным образом расщепляет отраженный свет на два основных направления – к Солнцу и Земле. Отсюда следует другой ошеломительный вывод о том, что Луна является практически невидимой для наблюдателя из космоса, который находится не на прямых отрезках Земля-Луна или Солне-Луна. Кому и зачем понадобилось прятать Луну в космосе в оптическом диапазоне?…

Чтобы понять, в чём прикол, в советских лабораториях потратили уйму времени на оптические эксперименты с лунным грунтом, доставленным на Землю автоматическими аппаратами «Луна-16», «Луна-20» и «Луна-24». Однако, параметры отражения света, в том числе солнечного, от лунного грунта вполне вписывались во все известные каноны оптики. Лунный грунт на Земле вовсе не хотел показывать тех чудес, которые мы видим на Луне. Выходит, что материалы на Луне и на Земле ведут себя по-разному?

Вполне возможно. Ведь неокисляемую плёнку толщиной в несколько атомов железа на поверхности любых предметов, насколько мне известно, в земных лабораториях так до сих пор и не удалось получить…

Масла в огонь подлили фотографии с Луны, переданные советскими и американскими автоматами, которые удалось посадить на её поверхность. Представьте себе удивление тогдашних учёных, когда все фотографии на Луне получались строго чёрно-белые – без единого намёка на такой привычный для нас радужный спектр. Если бы фотографировался только лунный пейзаж, равномерно усыпанный пылью от взрывов метеоритов, это ещё как-то можно было бы понять. Но чёрно-белой получалась даже калибровочная цветная пластинка на корпусе посадочного аппарата! Любой цвет на поверхности Луны превращается в соответствующую градацию серого, что беспристрастно фиксируют все фотографии поверхности Луны, передаваемые автоматическими аппаратами разных поколений и миссий по сегодняшний день.

Теперь представьте, в какой глубокой… луже сидят американцы с их бело-сине-красными звёздно-полосатыми флагами, якобы сфотографированными на поверхности Луны доблестными астронавтами-«первопроходимцами». Скажите, вы бы на их месте сильно старались возобновить исследования Луны и попасть на её поверхность хоть с помощью какого-нибудь «пендосохода», зная, что изображения или видеоролики получатся только черно-белыми? Разве что оперативно их раскрашивать, как старые фильмы… Но, чёрт возьми, в какие цвета красить куски скал, местные камни или крутые склоны гор !?..

Кстати говоря, очень похожие проблемы поджидали НАСА и на Марсе. Всем исследователям уже наверняка набила оскомину мутная история с несоответствием цветов, точнее говоря, с явным сдвигом всего марсианского видимого спектра на его поверхности в красную сторону. Когда работников НАСА подозревают в намеренном искажении изображений с Марса (якобы скрывающих голубое небо, зелёные ковры лужаек, синеву озёр, ползающих местных жителей…), я призываю вспомнить Луну…

Подумайте, может на разных планетах просто действуют разные физические законы?

Тогда очень многое сразу встаёт на свои места!

Но вернёмся пока к Луне. Давайте закончим с перечнем оптических аномалий, а потом примемся за следующие разделы Лунных чудес.

Луч света, проходящий вблизи поверхности Луны, получает существенные разбросы по направлению, из-за чего современная астрономия не может даже вычислить время, потребное для покрытия звёзд телом Луны. Никаких идей, почему такое происходит, официальная наука не высказывает, кроме отвязно-бредовых в стиле электростатических причин перемещения лунной пыли на больших высотах над её поверхностью или деятельности неких лунных вулканов, как нарочно выбрасывающих преломляющую свет пыль точно в том месте, где ведётся наблюдение за данной звездой. А так, вообще-то, лунных вулканов пока никто не наблюдал.

Как известно, земная наука умеет собрать информацию о химическом составе удалённых небесных тел за счет изучения молекулярных спектров излучения-поглощения. Так вот, для самого близкого к Земле небесного тела – Луны – такой способ определения химического состава поверхности не проходит! Лунный спектр практически лишен полос, могущих дать информацию о составе Луны. Единственная достоверная информация о химическом составе лунного реголита получена, как известно, при изучении проб, взятых советскими «Лунами». Но даже теперь, когда есть возможность сканировать поверхность Луны с низкой окололунной орбиты с помощью автоматических аппаратов, сообщения о нахождении той или иной химической субстанции на её поверхности носят крайне противоречивый характер. Даже по Марсу – и то информации значительно больше.

И ещё об одной удивительной оптической особенности поверхности Луны. Это свойство является следствием уникального обратного рассеяния света, с которого я начал рассказ об оптических аномалиях Луны. Итак, практически весь падающий на Луну свет отражается в сторону Солнца и Земли. Давайте вспомним, что ночью при соответствующих условиях мы можем прекрасно видеть неосвещённую Солнцем часть Луны, которая в принципе должна быть совершенно чёрной, если бы не… вторичное освещение Земли! Земля, будучи освещаемой Солнцем, отражает часть солнечного света в сторону Луны. И весь этот свет, который освещает теневую часть Луны, возвращается назад на Землю!  Отсюда совершенно логично предположить, что на поверхности Луны, даже на освещённой Солнцем стороне, всё время царят сумерки. Данная догадка великолепно подтверждается фотографиями лунной поверхности, сделанными советскими луноходами. Посмотрите при случае на них внимательно; на все, которые удастся добыть. Они сделаны при прямом солнечном освещении без влияния искажений атмосферы, но выглядят так, как будто в земных сумерках подтянули контрастность чёрно-белой картинки.

В таких условиях тени от предметов на поверхности Луны должны быть абсолютно чёрными, подсвечиваемые только ближайшими звёздами и планетами, уровень освещения от которых на много порядков ниже от солнечного. Это означает, что увидеть предмет, находящийся на Луне в тени, не представляется возможным с помощью любых известных оптических средств.

Для подведения краткого итога оптическим феноменам Луны предоставим слово независимому исследователю А.А.Гришаеву, автору книги о «цифровом» физическом мире, который, развивая свои идеи, в очередной статье указывает:

«Учёт факта наличия этих феноменов предоставляет новые, убийственные аргументы в поддержку тех, кто считает подделками кино- и фотоматериалы, которые якобы свидетельствуют о пребывании американских астронавтов на поверхности Луны. Ведь мы даём ключи для проведения простейшей и беспощадной независимой экспертизы. Если нам демонстрируют на фоне залитых солнечным светом (!) лунных пейзажей астронавтов, на скафандрах которых нет чёрных теней с противосолнечной стороны, или неплохо освещённую фигуру астронавта в тени «лунного модуля», или цветные (!) кадры с колоритной передачей цветов американского флага – то это всё неопровержимые улики, кричащие о фальсификации. Фактически, нам не известно ни одного кино- или фотодокумента, изображающего астронавтов на Луне при настоящем лунном освещении и с настоящей лунной цветовой «палитрой».

И тут же продолжает:

«Слишком аномальны физические условия на Луне – и нельзя исключить, что окололунное пространство губительно для земных организмов. На сегодня нам известна единственная модель, объясняющая короткодействие лунного тяготения, а заодно и происхождение сопутствующих аномальных оптических феноменов – это наша модель «зыбкого пространства». И если эта модель верна, то вибрации «зыбкого пространства» ниже некоторой высоты над поверхностью Луны вполне способны разрывать слабые связи в молекулах белков – с разрушением их третичной и, возможно, вторичной структур. Насколько нам известно, из окололунного пространства живыми вернулись черепашки на борту советского аппарата «Зонд-5», который произвёл облёт Луны с минимальным удалением от её поверхности примерно в 2000 км. Возможно, что при более близком к Луне прохождении аппарата животные погибли бы в результате денатурации белков в их организмах. Если от космической радиации защититься весьма сложно, но всё-таки возможно – то от вибраций «зыбкого пространства» физической защиты нет.»

 А еще нравится что лунную экспедицию пересняли в хорошем качестве. А то и правда, смотреть было противно. Все таки 21 век. Так что встречайте, в качестве HD "Катания на санях на масленицу".

Apollo 16 lunar rover "Grand Prix" in HD

admin.- Несмотря на большую достоверность и неоспоримость приведённых фактов есть всё-таки один момент, который делает позицию автора зыбкой. Это природа такого явления как гравитация. Если понять это, то отпадут все противоречия.

Все наши знания о гравитации основаны на выдумке о том, что все тела во Вселенной притягиваются друг к другу. По этому поводу даже «Закон всемирного тяготения» придумали. К сожалению, в действительности, ничто ни к чему не притягивается! А «Закон всемирного тяготения» – это безсовестная выдумка тех кругов, которые уже достаточно давно пытаются рулить на нашей планете. Исчерпывающие доказательства сказанному существуют и приведены в статье О.Х. Деревенского «Бирюльки и фитюльки всемирного тяготения»!!! Многие «учёные» об этом знают, но трусливо молчат. Ибо… люди они подневольные и заняты зарабатыванием себе денег на пропитание, а не поиском истины. В действительности, гравитация существует (мы же не летаем по воздуху, а ходим по земле), но природа гравитации совсем иная! Это явление более 10 лет назад очень хорошо описал академик Николай Левашов в своей знаменитой книге «Неоднородная Вселенная»…